近日,bevictor伟德官网杨志博士在氧化石墨烯领域的研究取得新进展,相关成果在国际知名期刊《Applied Surface Science》上连续发表2篇论文。 《Applied Surface Science》由Elsevier公司出版发行,是表面科学与工程领域的TOP期刊,2019年影响因子为6.182。
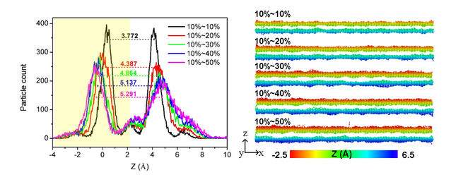
多层氧化石墨烯被广泛用于离子筛分与气体分离,其层间距的精确调控是实现高效分离的关键。然而,多层氧化石墨烯的氧化程度、薄膜膜厚、温度及外加应变场对其层间距的影响规律尚不明确。作者采用分子动力学模拟方法,系统研究了上述因素对多层氧化石墨烯的层间距的影响规律,为离子、气体分离膜的设计与制备提供参考。

文链接:“Interlayer spacing of multilayer graphene oxide: influences of oxygen-containing group density, thickness, temperature and strain”,
高温热处理是制备还原氧化石墨烯的主要方法之一。实验结果表明,高温热处理不能完全迫使氧化石墨烯脱氧,且脱氧机理尚不清楚。作者采用分子动力学方法模拟了氧化石墨烯的高温热解过程,从原子尺度揭示了氧化石墨烯碳架及其表面官能团的演化规律与脱氧机理。

文链接:“Pyrolysis Mechanisms of Graphene Oxide Revealed by ReaxFF Molecular Dynamics Simulation”,
据悉,近年来公司加大对青年教师的培养支持力度,bevictor伟德官网目前有3名教师获得西华学者支持计划资助,4名教师获得了西华青年学者了支持计划资助,11名教师获得了西华青年学者后备人才支持计划资助,杨志就是其中受资助11名教师中的一位青年博士。bevictor伟德官网也加大了对青年教师的培养和支持力度,通过“压担子”每年都要求申请国家级项目,“给机会”公司给予资金资助鼓励青年教师外出参加高水平学术会议,组织教师在公司内部进行学术讲座和学术交流,通过以上举措青年教师成长很快,多名教师成功申请国家自然科学基金项目,发表高水平学术论文,成功申请发明专利。公司通过《院内分配管理办法》的引导作用,充分调动教师的科研积极性,科研考核连续两年第一,年薪制第一周期届满考核,多名青年博士超额150%或200%规定任务,目前公司科研氛围浓厚,项目经费连续两年创新高。


